万博体育app 武振伟老师及其合作者关于深过冷液体中反常输运现象及原子层面微观机理的文章,于北京时间2018年12月17日,以“Stretched and compressed exponentials in the relaxation dynamics of a metallic glass-forming melt”为题在线发表于国际学术期刊《Nature Communications》。
玻璃形成液体的动力学行为一直是物理、化学、生物、和材料科学等诸多领域的热点研究问题之一,这不单纯归结于玻璃材料在工程应用方面的潜在价值,还起源于玻璃转变过程作为一个基础科学问题对人类智力发起的挑战。正如2003年诺贝尔物理学奖得主Sir Anthony Leggett在一次演讲中所提到的那样:“Glass: The Cinderella Problem of Condensed-matter Physics”。到目前为止,人们并没有很好的理论框架和范式来理解和描述玻璃形成液体和玻璃态物质中的许多异常行为。 玻璃形成液体具有诸多简单液体所不具备的动力学特征,比如系统的非e指数性弛豫行为和结构弛豫时间的强温度关联性。非e指数形式的时间关联函数也通常被认为是玻璃液体的典型特征之一。当对过冷液体进行淬火时,随着温度的降低系统逐渐偏离平衡态,此时系统的时间关联函数会从拉伸e指数衰减(stretched exponential decay)形式逐步转变为压缩e指数衰减(compressed exponentials),玻璃态中后一种形式的衰减常常被认为与体系内部的内应力释放有关,但其微观机制确有待于进一步的考察。

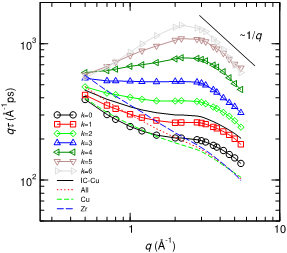
如图所示,在不同的波矢q所定义的空间尺度内,具有不同局域连接度的粒子表现出特异的输运性质。这些奇异的输运行为都可以跟某种特定的原子结构直接关联,它们本身特征的动力学与它们周围的介质相互作用、相互影响,造就了其特殊的输运方式。
(tau~1/q2: normal diffusion; tau~1/q: ballistic-like motion.)
非晶物理的研究经验告诉我们,玻璃形成体系的任何物理性质一般都是温度的平滑函数,所以上述这种在玻璃转变点左右到弛豫方式到转换并不太可能由一些未知隐参量的突然跳变产生。因此,压缩e指数衰减的弛豫方式极有可能已存在于降温过程中的玻璃形成液体当中,此次的研究工作证实了这一之前未报道过的预想。在一种典型的金属玻璃形成液体(Cu50Zr50)当中,研究发现拉伸和压缩e指数衰减所对应的两种结构弛豫模式可以在玻璃转变温度以上共存,并可直接跟某些特定的结构单元进行关联。这一结果表明,深过冷液体中原子的动力学行为异常复杂,相互作用、相互影响下的输运方式丰富多彩,提示人们要尝试从多空间尺度和具有非局域性质的结构序参量上来理解和研究复杂液体的动力学行为。与此同时,本次工作也为研究金属玻璃所展现出的优良力学性质提供了新的思路和认识角度。
该研究工作由我校万博体育app 武振伟老师,法国Montpellier大学(University of Montpellier)Walter Kob教授,中科院物理所汪卫华院士,以及北京大学量子材料科学中心徐莉梅教授共同合作完成。该项工作得到了国家自然科学基金委,科技部的联合资助。
文章链接: //www.nature.com/articles/s41467-018-07759-w