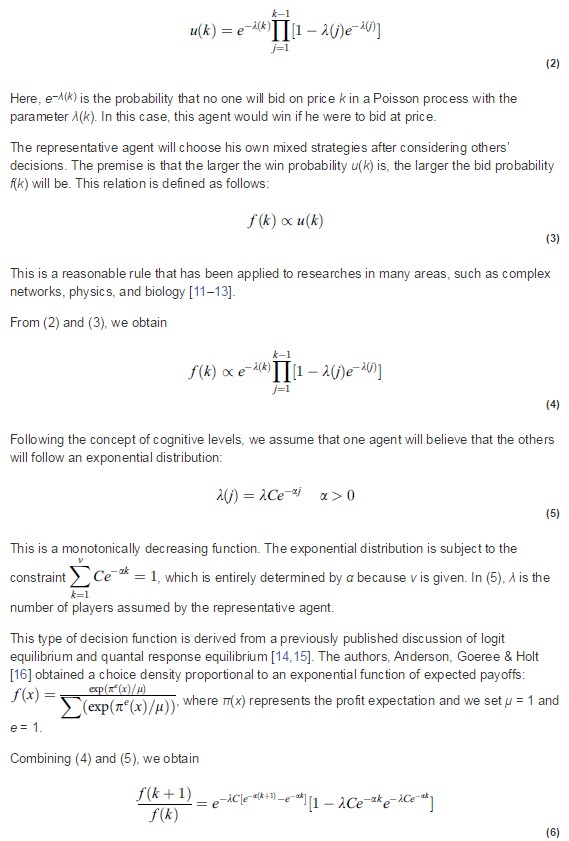
万博体育app

[成果] Smarter than Others?

Author: 2015-04-15